Jadual Dan Lokasi Kursus Asas Haji (KAH) 2026 / 1447H Seluruh Negeri. Kepada jemaah haji yang terpilih pada tahun semasa dan juga kepada orang ramai yang berminat untuk mempelajari hal ehwal ibadat haji dan umrah, Jadual Kursus Asas Haji 2026 Seluruh Negeri akan dikeluarkan oleh Tabung Haji Malaysia. Peserta yang berminat untuk mengikuti Kursus Asas Haji (KAH) 1447H perlu mendaftar di masjid-masjid yang terlibat dalam menganjurkan kursus ini. Senarai di bawah ini menyertakan nama masjid yang terlibat setiap negeri dan tarikh mula dan akhir KAH diadakan.
Menurut SUMBER, maklumat berkaitan kursus asas haji atau KAH telah keluar dalam aplikasi THiJARI. Anda boleh menyemak jadual (tarikh, masa dan tempat) berkenaan dengan login masuk https://www.thijari.com.my atau login masuk ke aplikasi THiJARI masing-masing.
Sesudah log masuk aplikasi THiJARI, ikuti langkah-langkah berikut :-
- Klik pada MENU (atas kiri) seterusnya
- Klik pautan Perkhidmatan Haji
- Klik pada Kursus Haji
- Pilih Jenis Kursus (KURSUS ASAS HAJI)
- Pilih Negeri
- Pilih Daerah dan akhirnya
- Klik Cari Kursus. Scroll ke bawah untuk senarai tarikh, lokasi, TH Cawangan dan TH Nombor Telefon.
Sesiapa sahaja boleh hadir samada menerima SMS atau tidak. Bagi yang terutamanya telah menerima SMS untuk hadir kursus bolehlah mula memantau tahap kesihatan dan fizikal masing-masing dengan membuat latihan ringan seperti brisk walk atau berlari lari secara perlahan.
Sesiapa yang tidak pernah mengalami apa-apa masalah kesihatan, bolehlah membuat pemeriksaan kesihatan awal supaya tahu status semasa kesihatan sebelum membuat Pemeriksaan Kesihatan Wajib bagi Bakal Jemaah Haji yang terpilih. Sekurang-kurangnya buat ujian darah dan tekanan darah, samada di Klinik Kesihatan Kerajaan atau Swasta supaya ada rekod ujian kesihatan (darah dan tekanan darah) sebelum Pemeriksaan Kesihatan Wajib untuk Bakal Jemaah Haji dibuat. (Jangkaan pada pertengahan atau hujung Disember 2025).
Jika ada masalah kesihatan yang dikesan lebih awal, proses pemulihan atau kawalan masalah kesihatan dapat dilakukan dengan lebih awal supaya ada masa untuk boleh lulus ujian pemeriksaan kelak. Dan akhir sekali, jangan lupa kemaskini maklumat seperti yang disarankan oleh Tabung Haji.

Apa Itu Kursus Asas Haji (KAH)?
KAH adalah kursus pengenalan kepada ibadat haji, umrah dan ziarah. Kursus ini mengambil masa selama 13 sesi berturut-turut atau selama 4 bulan 1 minggu. Setiap siri mengambil masa selama 4 jam 2 jam 30 minit dan diadakan bermula dari bulan Rabiul Awal hingga Jamadil Akhir.
KAH adalah kursus haji peringkat pertama yang akan diikuti oleh bakal jemaah haji sebelum berangkat ke Tanah Suci. Kursus ini diadakan di masjid-masjid yang terpilih di peringkat daerah seluruh negeri di Malaysia secara kerjasama antara Jabatan Agama Islam Negeri dan Lembaga Tabung Haji.
Jadual Kursus Asas Haji 2026 / 1447H Seluruh Negeri
Berikut adalah jadual KAH 1447H mengikut negeri mengandungi maklumat tempat kursus iaitu nama masjid, tarikh mula & akhir, masa dan hari.
Kursus paling awal diadakan pada 4 Oktober 2025 dan tamat pada akhir bulan Disember 2025 / Awal Januari 2026.
Perlis, Kedah & Pulau Pinang

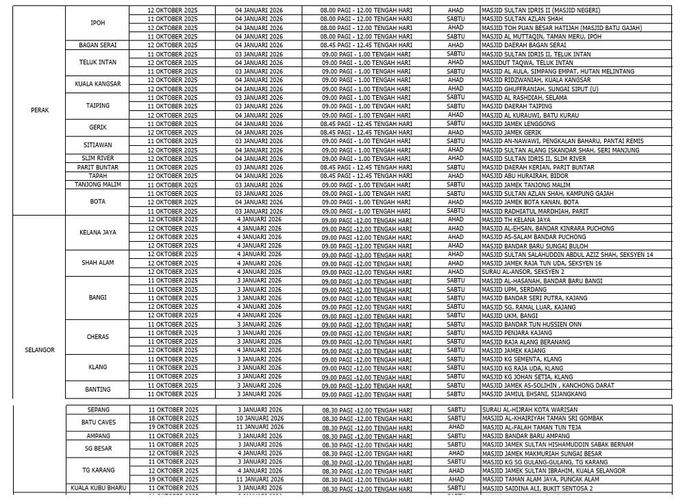
Perak & Selangor

Kuala Lumpur, Putrajaya, Negeri Sembilan & Melaka

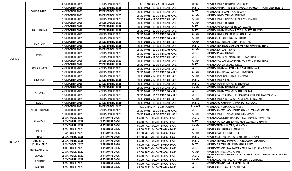
Johor & Pahang

Terengganu & Kelantan

Sabah & Sarawak

Muat turun jadual Kursus Asas Haji di masjid-masjid berhampiran anda di link di bawah ini :-
Nota Modul Kursus Asas Haji (KAH)
Muat turun Nota Modul Kursus Asas Haji (KAH) seperti di pautan di bawah atau di pautan TH:
- MINGGU 1 – SEJARAH & PENGENALAN TANAH SUCI MAKKAH & MADINAH
- MINGGU 2 – FALSAFAH DAN PENYUCIAN JIWA, PENGENALAN RINGKAS IBADAT HAJI DAN UMRAH
- MINGGU 3 – RUKUN HAJI : NIAT IHRAM, WUQUF & TAWAF
- MINGGU 4 – RUKUN HAJI : SA’IE, BERCUKUR/ BERGUNTING DAN TERTIB PADA KEBANYAKAN RUKUN
- MINGGU 5 – WAJIB-WAJIB HAJI : NIAT DI MIQAT, LARANGAN DALAM IHRAM, DAM & MABIT DI MUZDALIFAH
- MINGGU 6 – WAJIB-WAJIB HAJI : MELONTAR DI JAMRAH KUBRA 10 ZULHIJJAH, MABIT DI MINA DAN MELONTAR PADA HARI-HARI TASYRIQ DAN NAFAR
- MINGGU 7 – JENIS HAJI DAN CARA-CARA MENGERJAKAN HAJI
- MINGGU 8 – AURAT, IZIN SUAMI, TAHARAH DAN SOLAT
- MINGGU 9 – FIQH WANITA DALAM IBADAT HAJI
- MINGGU 10 – IBADAT UMRAH, NIAT BERSYARAT DAN TAWAF WADA’
NOTA:
Untuk makluman Nota Modul Kursus Asas Haji (KAH) hanya dibekalkan dari minggu 1 sehingga minggu ke-10.
Manakala, bagi minggu ke-11 (Kesihatan) & ke-12 (Pengurusan) ia hanya akan dibentangkan dalam taklimat Kursus yang dianjurkan berikutan maklumat tersebut perlu diberikan kefahaman secara bersemuka bagi mengelak sebarang ketidak tepatan dalam info dan maklumat yang disalurkan.
Kursus-Kursus Lain Buat Bakal Jemaah Haji
Di sini dikongsikan juga informasi kursus-kursus yang perlu diikuti oleh bakal jemaah haji selepas menghadiri Kursus Asas Haji ini.
1. Kursus Intensif Haji
Kursus haji peringkat kedua yang akan diikuti oleh bakal jemaah haji sebelum berangkat ke Tanah Suci. Diadakan dalam bulan Rejab dan Sya’aban pada setiap tahun.
Kursus diadakan selama 2 hari. Penekanan yang diberikan semasa kursus ini lebih kepada praktikal ibadat haji dan umrah serta ulangkaji ibadat. Modul juga merangkumi Ibadat haji, Penjagaan Kesihatan dan Pengurusan haji di Tanah Air dan Tanah Suci. Hanya bakal jemaah haji yang terpilih pada tahun semasa akan dijemput menghadiri kursus ini oleh Pejabat TH Negeri atau Daerah.
2. Kursus Khas Haji
Kursus haji ini adalah lanjutan kepada Kursus Intensif Haji. Diadakan selepas Kursus Intensif Haji. Tempoh kursus adalah selama 1 hari. Penekanan yang diberikan semasa kursus ini adalah latih tubi praktikal ibadat dalam kelompok kecil dan lebih khusus.
Peserta kursus adalah terdiri daripada mereka yang mendapat markah 39% dan ke bawah dalam ujian kefahaman ibadat Kursus Intensif Haji dan mereka yang terpilih di saat akhir. Pejabat TH Negeri atau Daerah akan mengeluarkan surat jemputan kepada bakal jemaah haji yang terlibat.
3. Kursus Perdana Haji
Kursus haji peringkat akhir yang akan diikuti oleh bakal jemaah haji sebelum berangkat ke Tanah Suci. Diadakan dalam bulan Syawal disetiap negeri. Kursus ini akan mengumpulkan bakal jemaah haji dari seluruh daerah bagi setiap negeri.
Kursus ini diadakan selama 1 hari. Penekanan yang diberikan semasa kursus ini lebih kepada praktikal ibadat haji dan umrah dalam kelompok jemaah yang lebih ramai. Ia melibatkan aktiviti bermabit dan melontar pada waktu malam. Bakal jemaah haji akan bermalam di tempat kursus.
Hanya bakal jemaah haji yang tepilih pada tahun semasa akan dijemput menghadiri kursus ini oleh Pejabat TH Negeri atau Daerah.
Semoga informasi berkenaan Jadual Kursus Asas Haji 2026 Seluruh Negeri ini berguna dan boleh dijadikan panduan buat bakal jemaah haji di Malaysia.
SUMBER : Tabung Haji



